散户能操纵股价吗-明天涨停选股公式-【东方资本】,炒股开户哪个最好,广发证券股票交易软件下载电脑版,最新股票配资平台点评配资

PRODUCTS

Drug Core Intermediates
Pyridine Series
Pyrrolidine Series
Piperidine Series
Piperazine Series
Boric acid Series
Amino Acids
Peptide Series
Other Series

Product Detail

Current location:HomeProduct Detail
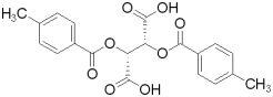
L-DPTA

L-DPTA
Name:(2R,3R)-2,3-Bis((4-methylbenzoyl)oxy)succinic acid / Di-P-toluoyl-L-tartaric acid
CAS:71607-31-3(monohydrate) 32634-66-5(anhydrous)
Product Standard:
Application:
Package:

Manufacture Sichuan Hengkang Science and Technology Development Co. ,Ltd.

Factory Address  #90,Group 17,MIaole village,Shou’an street, Pujiang county, Chengdu, Sichuan, China.

R&D Center Chengdu Tianfu International Bio-town.(9F,No.C1 Chengdu Tianfu Bio-industry incubation Park, Shuangliu District, Chengdu.)

Postcode 610200

Fax +86-28-60651388

Mob(factory):+86-15008222507 (linkedin/whatsapp)

R&D +86-28-60651388

Email hk999@hengkangtech.com

MF: C20H18O8


Contact Us

Add:#90,Group 17,MIaole village,Shou’an street, Pujiang county, Chengdu, Sichuan, China.
Tel: +86-28-88679666 
Mob: +86-18980427282
linkedin/whatsapp: 15008222507 
Email: hk999@hengkangtech.com 

Hengkang

Copyright(C)2022,Sichuan Hengkang Science and Technology Development Co., Ltd. All Rights Reserved. Supported by ChemNet ChinaChemNet Toocle 31fabu Copyright Notice